68th Scientific Sessions
Abstract Form

Medical Research
Nursing Research

November 13-16, 1995
Anaheim Converntion Center
Anaheim California

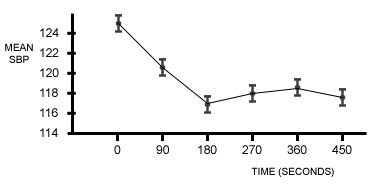
Potential Overdiagnosis of Hypertension With Less Than Six Consecutive Blood Pressure Measurements

Mark Goodman, Alberto R. Yataco, Dina Darwish, The Union Memorial Hospital, Baltimore, MD

Two to three consecutive blood pressure measurements (BPM) have been suggested to obtain a resting baseline blood pressure (BP). We studied medical residents to evaluate the efficacy of multiple consecutive BPM to overcome the startle/reactivity response and behaviorally “habituate” the patient to a novel, aversive, constricting stimulus associated with obtaining BPM. An automated oscillometric digital Dinamap monitor was used to record systolic blood pressure (SBP) and diastolic blood pressure (DBP), in 34 normotensive medical residents (18 males, 16 females, age 30.02±3.3) to avoid the “white-coat hypertension” phenomenon. BP was recorded six times at 90 second intervals with the subjects seated, back and arm supported with the BP cuff at the level of the heart. We found that the change in mean SBP over the first three consecutive readings was significantly different (p<=.01). There were no significant differences noted again until the sixth and final reading of mean SBP. DBP revealed no significant differences by MANOVA when comparing across the six observations. This rapid methodology would potentially reduce overdiagnosis and treatment of systolic hypertension.